
在智能交通、汽车驾驶等生命安全领域,特别是复杂的城市环境中,迫切需要高精度、高可靠性的导航定位服务。虽然与GNSS/INS松组合相比,GNSS RTK/INS紧组合可以利用GNSS原始观测数据提高组合定位的精度和可靠性,但仍然受到多径效应等城市挑战环境的影响。因此,故障检测与剔除(FDE)算法是实现GNSS/INS组合导航质量控制的前提和保证。受随机样本一致性(RANSAC)算法在GNSS故障检测中的应用启发,我们提出了一种基于RANSAC的GNSS RTK/INS紧组合故障检测与剔除方法,构建了基于站间单差的GNSS RTK/INS紧组合模型。
RANSAC算法最早由Fischler and Bolles提出,并被广泛应用于计算机视觉领域。它能够在包含多粗差和小粗差的样本点中,通过迭代的方式提取出离群点与最佳模型。目前RANSAC算法主要应用于单个GNSS观测信息的故障检测和排除,同时已有研究应用RANSAC算法解决GNSS/INS松组合故障检测问题。但是,现有方法尚未解决两个关键问题:(1)子集构建所需最小卫星数量;(2)惯导信息在子集构建中的辅助作用,造成计算效率较低和故障识别精度较差的问题。
受RANSAC在GNSS定位解决方案中的应用启发,我们将RANSAC应用于GNSS RTK/INS紧组合,以实现高精度和高可靠的组合导航与定位。基于RANSAC的在GNSS RTK/INS紧组合故障检测与剔除方法的特点如下:
1. 设计了一种基于接收机间单差(BRSD)的GNSS RTK/INS紧组合方案(见图1)。该方案将接收机钟差建模进行在线估计,同时可以减少诸如卫星相关误差和大气误差等GNSS误差的影响,实现充分利用更多可用的GNSS观测数据。
2. 提出了一种基于RANSAC的GNSS RTK/INS紧组合故障检测与剔除方法(见图2)。该方法发挥惯性导航信息的辅助作用,可直接利用2颗卫星作为子集样本,同时在典型的RANSAC算法中引入了全局比例统计方法以保证故障检测精度。

图 1 基于站间单差的GNSS RTK/INS紧组合算法

图 2 基于RANSAC的GNSS RTK/INS紧组合故障检测与剔除算法流程图
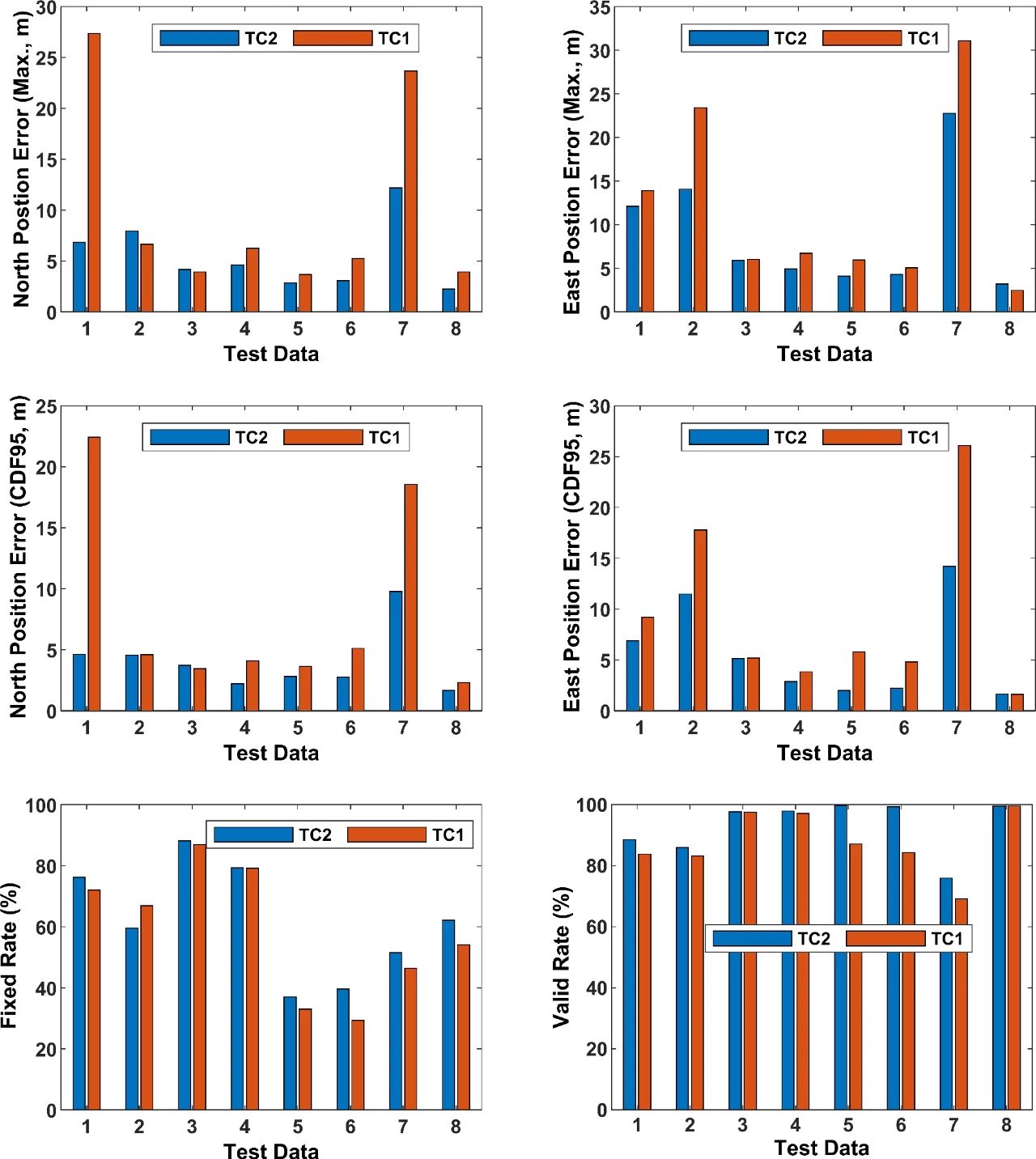
本工作从子集选择、内点判断、子集迭代等方面分析了基于RANSAC的GNSS/INS紧组合故障检测方法的关键参数,并将故障全局比例统计扩展到典型的RANSAC算法中,提高了故障检测的准确性。实测开阔环境GNSS周跳模拟实验结果表明:本方法能够有效地检测小故障和多故障,0.5周和1~3周的周跳检测率分别约为70%和90%;复杂典型城市环境车载综合测试结果表明:GNSS/INS紧组合更适合城市复杂环境,且本文基于RANSAC的故障检测与剔除方法在综合场景下北向和东向位置精度(以CDF95计算)平均提高了45%和42%(见图3)。另外,本工作基于RANSAC的故障检测方法可进一步应用于多传感器信息融合,但需进一步完善阈值设置优化方案,以确保故障检测精度及普适性。

图 3 城市复杂环境GNSS RTK/INS紧组合导航性能表现
(TC1:基于新息抗差, TC2:基于RANSAC抗差)
相关成果发表在IEEE TIV上,可在团队网站(i2nav.cn)的“研究成果-学术论文”列表中下载。(Link)
相关阅读
[1] Quan Zhang, Huan Lin, Longyang Ding, Qijin Chen, Tisheng Zhang and Xiaoji Niu, “RANSAC-Based Fault Detection and Exclusion Algorithm for Single-Difference Tightly Coupled GNSS/INS Integration,"IEEE Transactions on Intelligent Vehicles, doi: 10.1109/TIV.2023.3342274.
[2] 林欢,GNSS RTK/INS车载辅助紧组合关键算法研究,硕士论文(第三、五章),武汉大学,2022.
版权所有:武汉大学多源智能导航实验室(微信公众号:i2Nav) 当前访问量: 技术支持:武汉楚玖科技有限公司